A Fun Guide for Young Coders
Imagine you’re the captain of a spaceship full of unsorted aliens 👽👾—some tall, some tiny, some round, some spiky! Your mission? Put them in order—from shortest to tallest—so they can board the rocket properly. Sounds fun, right? 🚀 That’s exactly what sorting algorithms do—they arrange data in order so computers can understand and use it faster.
But here’s the tricky part: There’s no “one-size-fits-all” way to sort things. Just like you wouldn’t use a hammer to eat your cereal 🥣, you shouldn’t use the same algorithm for every kind of sorting problem!
Let’s meet the famous Sorting Heroes and learn when to use each one 👇
1. Bubble Sort – The Slow but Steady Friend
How it works:
Bubble Sort compares two items at a time—like two friends standing in a line—and swaps them if they’re in the wrong order. It keeps doing this until everything is sorted!
Example:
Imagine sorting 5 playing cards by their numbers. Bubble Sort checks each pair again and again, like bubbles rising to the top of a soda bottle.
When to use it:
✅ When you’re learning sorting for the first time.
✅ When the list is very small (like 5–10 items).
❌ Don’t use it for large lists—it can be slow and sleepy 😴.
Think of it as:
👶 The “kindergarten” sorting method—great for beginners!

2. Insertion Sort – The Neat Organizer
How it works:
Think of how you organize your cards in your hand while playing a game—each new card finds its correct place among the sorted ones.
Example:
When you pick up cards one by one and insert each into the right spot, you’re doing Insertion Sort!
When to use it:
✅ When the list is almost sorted already.
✅ When you have a small dataset (like 10–20 items).
❌ Not great for huge messy lists.
Think of it as:
🧤 The “careful sorter”—great when things are nearly tidy!
🌀 3. Selection Sort – The Treasure Hunter
How it works:
Selection Sort looks through the entire list, finds the smallest item, and puts it at the front. Then it repeats for the rest of the list until everything’s sorted.
Example:
If you’re arranging your toys from smallest to biggest, you’d first find the tiniest toy, then the next one, and so on.
When to use it:
✅ When you don’t care about speed but want to understand the logic clearly.
✅ Good for practice and visualizations.
❌ Slow for big lists—because it searches again and again!
Think of it as:
🔍 The “treasure hunter”—it keeps finding the next smallest gem!
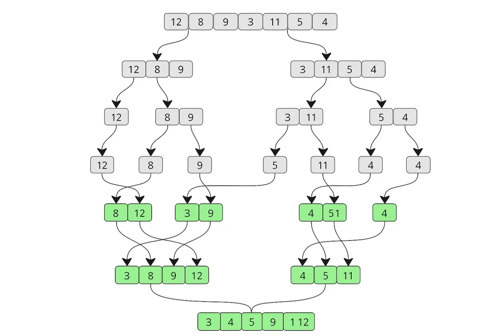
🌪 4. Merge Sort – The Team Player
How it works:
Merge Sort divides the list into smaller parts, sorts each one, and then merges them together like puzzle pieces.
Example:
Imagine you and your friends each sorting half a deck of cards, then combining your sorted halves into one perfect deck.
When to use it:
✅ When you need to sort large lists efficiently.
✅ When you can split the problem and solve it in parts.
❌ Needs extra memory—so not great when space is limited.
Think of it as:
🤝 The “divide and conquer hero”—smart, fast, and organized!

🔥 5. Quick Sort – The Speed Racer
How it works:
Quick Sort picks a random item (called a pivot) and splits the list into two—smaller items go left, bigger items go right. Then it sorts each side recursively (again and again).
Example:
You’re dividing candies by size—tiny candies on one plate, big candies on another, then sorting each plate.
When to use it:
✅ When you have a large dataset.
✅ When you want fast sorting and have limited memory.
❌ Doesn’t like already sorted lists (it can slow down).
Think of it as:
⚡ The “race car” of sorting—super fast on most tracks!
🧊 6. Counting Sort – The Number Lover
How it works:
Counting Sort counts how many times each number appears, then arranges them in order based on those counts.
Example:
If you’re sorting test scores from 0 to 100, it counts how many students got each score.
When to use it:
✅ When dealing with numbers within a known range.
✅ Great for sorting grades, ages, or scores.
❌ Doesn’t work for strings, decimals, or very large ranges.
Think of it as:
🔢 The “math genius”—amazing with numbers, not with names!
Quick Cheat Sheet
| Algorithm | Best For | Avoid When… | Speed (Approx) |
|---|---|---|---|
| 🫧 Bubble Sort | Very small lists, learning basics | Lists are large | 🐢 Slow |
| 🧤 Insertion Sort | Nearly sorted lists, small size | Large, messy lists | 🐢 Medium |
| 🔍 Selection Sort | Practice, easy understanding | Big data | 🐢 Slow |
| 🤝 Merge Sort | Large lists, stable sorting needed | Memory is limited | ⚡ Fast |
| ⚡ Quick Sort | Big lists, average use | Already sorted data | ⚡ Very Fast |
| 🔢 Counting Sort | Integers in limited range | Large or unknown number ranges | 🚀 Super Fast |
💡 Pro Tip for Young Coders
You don’t always have to memorize sorting algorithms—just understand how they think! When you know the kind of data you’re dealing with (small, large, almost sorted, or numeric), you can pick the right hero for your mission.
Next time you write a sorting program, ask yourself:
🧩 Is my data small or large?
💻 Is it almost sorted or completely random?
🔢 Are they numbers, names, or mixed data?
Answer these—and you’ll always know which sorting algorithm to call for help!
🎮 Final Challenge for You!
Try sorting your favorite snacks by size using:
- Bubble Sort: Swap two snacks at a time!
- Selection Sort: Keep picking the smallest one first!
- Merge Sort: Split snacks with a friend and then merge!
See which one feels fastest—you’ve just learned real computer science in action! 🤖✨







